[新しいコレクション] derivative of ln e^x 178454-Derivative of ln(sin(e^x))
2 Answers2 is true only for constant a > 0 Note that in getting the above result, the steps followed are similar to the steps for getting the derivative of x x Let f ( x) = a x, a > 0 Then, There is a "generalized" power rule I always taught You can memorize it or not, but it is easy to derive if needed If f and g are functions of x, then 1 We can also do this without first using the identity e^lnx=x, although we will have to use this eventually Note that d/dxe^x=e^x, so when we have a function in the exponent the chain rule will apply d/dxe^u=e^u*(du)/dx So d/dxe^lnx=e^lnx(d/dxlnx) The derivative of lnx is 1/x d/dxe^lnx=e^lnx(1/x) Then using the identity e^lnx=x d/dxe^lnx=x(1/x)=1 Which is the same asIt is the system we use in all theoretical work (In the next Lesson, we will see that e is approximately 2718) The system of
The Derivative Of E X And Lnx
Derivative of ln(sin(e^x))
Derivative of ln(sin(e^x))-Our next task is to determine what is the derivative of the natural logarithm We begin with the inverse definition If y = ln x then e y = x Now implicitly take the derivative of both sides with respect to x remembering to multiply by dy/dx on the left hand side since it is given in terms of y not x eThis quiz is incomplete!



Exercises 85 Find The Second Derivative Y Chegg Com
Your original question "what is the derivative of ln(e)" is easy ln(e)= 1 is a number, a constant And the derivative of any constant is 0 Of course, that has nothing to do with the "derivative of itexe^{x^x}/itex"Well that depends e^x^x is ambiguous it could mean a) math e^{x^x} /math;Derivative of ln(1e^x) Simple step by step solution, to learn Simple, and easy to understand, so don`t hesitate to use it as a solution of your homework Below you can find the full step by step solution for you problem
By signing up, you'll get thousands of stepbystep solutions to your homework questions YouDerivative of ln (e^x) Simple step by step solution, to learn Simple, and easy to understand, so don`t hesitate to use it as a solution of your homework Below you can find the full step by step solution for you problem We hope it will be very helpful for you and it will help you to understand the solving process14 DERIVATIVES OF LOGARITHMIC AND EXPONENTIAL FUNCTIONS The derivative of ln x The derivative of e with a functional exponent The derivative of ln u() The general power rule T HE SYSTEM OF NATURAL LOGARITHMS has the number called e as it base;
Derivative of ln(e^x x*e^x), If you enjoy my videos, then you can click here to subscribe https Derivative of ln(e^x x*e^x), If you enjoy my videos,How to find the derivative of the ln(x)Please visit the following website for an organized layout of all my calculus videoshttp//wwwsvhssimik12caus/cmDerivative of ln(x^2) Applying the chain rule, along with the derivatives d/ d x ln (x) = 1/ x and d/ d x(x²) = 2 x, we have derivative of ln(x^2) Derivative of ln(3x) to find out the derivative of ln (3 x) then suppose that ln (3 x) = y e^ y = 3 x Now use implicit differentiation Remember that d y/ d y ⋅ d y/ d x = d y/ d x If you



Exponentials And Logarithms Maths A Level Revision



Proof The Derivative Of Ln X Is 1 X Video Khan Academy
Use a symbolic differentiation utility to find the derivative of the function g(x)=x ã((x^2)1) Use the utility to graph the function and is derivative on the same set of coordinate axes Describe the behavior of the function Its derivative is 1 In general, anytime you see exponentials elevated to a logarithm, you think this is going to simplify In this case you have just a power of a logarithm, but that power is e, so it "looks" like an exponential, but of course it isDerivative of ln (1e^x) Simple step by step solution, to learn Simple, and easy to understand, so don`t hesitate to use it as a solution of your homework Below you can find the full step by step solution for you problem We hope it will be very helpful for you and it will help you to understand the solving process



Find The Derivative Of The Function Y E X In X X Chegg Com



Find The Derivative Y Ln 1 E X 1 E X Chegg Com
Free derivative calculator differentiate functions with all the steps Type in any function derivative to get the solution, steps and graphProof the derivative of ln (x) is 1/x The AP Calculus course doesn't require knowing the proof of this fact, but we believe that as long as a proof is accessible, there's always something to learn from it In general, it's always good to require some kind ofProof of Derivative of ln(x) The proof of the derivative of natural logarithm \( \ln(x) \) is presented using the definition of the derivative The derivative of a composite function of the form \( \ln(u(x)) \) is also included and several examples with their solutions are presented



Limits Regarding Ln And The Derivative Of Exponential Functions Havens Math



Proofs For The Derivatives Of Eˣ And Ln X Advanced Differentiation Geeksforgeeks
Derivative of ln(1/x), Logarithmic derivative, If you enjoy my videos, then you can click here to subscribe https//wwwyoutubecom/blackpenredpen?sub_confir Going back to the derivative d d x ln x = lim h → 0 ln ( e h x) h = lim h → 0 h x ln ( e) h = lim h → 0 h x ÷ h = 1 x This proof seems fine, apart from the middle step to get e 1 xToday we conclude Topic 27 by developing the derivatives of e^x and ln x Graphical presentations are included, but today's work focuses on numerical analysis The student activities today mirror their work from yesterday and require students to again produce a "slopes graph" the derivative graph for these basic, and ubiquitous, functions



Question Video Using The Inverse Relation Between Exponential Functions And Logarithms Nagwa



Math Scene Functions 2 Lesson 5 The Second Derivative
The derivative of ln x – Part of calculus is memorizing the basic derivative rules like the product rule, the power rule, or the chain ruleOne of the rules you will see come up often is the rule for the derivative of ln x In the following lesson, we will look at some examples of how to apply this rule to finding different types of derivativesRelated Pages Natural Logarithm Logarithmic Functions Derivative Rules Calculus Lessons Natural Log (ln) The Natural Log is the logarithm to the base e, where e is an irrational constant approximately equal to The natural logarithm is usually written ln(x) or log e (x) The natural log is the inverse function of the exponential functionFirstly log (ln x) has to be converted to the natural logarithm by the change of base formula as all formulas in calculus only work with logs with the base e and not 10 Hence log ( ln x ) = ln ( ln x ) / ln (10) and then differentiating this gives 1/ln (10) * d (ln (ln x)) / dx



Ilectureonline



Exercises 85 Find The Second Derivative Y Chegg Com
Derivative of ln(cos(x))21 version done in 40 seconds https//youtube/nDpCRjewNHMAwesome resource https//amznto/2QGa0x9Image page http//calculuscoac The derivative of ln(x) is a wellknown derivative This lesson will show us the steps involved in finding this derivative, and it will go over a real world application that involves theDerivative of ln (e^ (2*x*x)) Simple step by step solution, to learn Simple, and easy to understand, so don`t hesitate to use it as a solution of your homework Below you can find the full step by step solution for you problem We hope it will be very helpful for you and it will help you to understand the solving process



Find The Derivative Y Ex 4 Ln X E X 4 4e X 4 Ln Chegg Com



Implicit And Logarithmic Differentiation
Proving the derivatives of sin (x) and cos (x) Derivative of 𝑒ˣ Derivative of ln (x) Practice Derivatives of 𝑒ˣ and ln (x) This is the currently selected item Proof The derivative of 𝑒ˣ is 𝑒ˣ Proof the derivative of ln (x) is 1/x Next lesson The product ruleDerivative of (ln(1e^x))^4 Simple step by step solution, to learn Simple, and easy to understand, so don`t hesitate to use it as a solution of your homework Below you can find the full step by step solution for you problem By the fundamental theorem of Calculus, the derivative of ln (t) is 1/t And that's positive for positive x so ln (x) is an increasing function You can then use substitution in the integral to prove that ln (1/t)= ln (t), ln (st)= ln (s) ln (t), and that By the mean value theorem, we can write (ln (2) ln (1))/ (2 1)= 1/c for some c



What Is The Differentiation Of 1 E X With Respect To X Quora



What Is The Derivative Of Math 9x Ln X Math Quora
3 Differentiation of f(x) = lnx Using the definition of the derivative in the case when f(x) = lnx we find f(xδx)−f(x) δx = ln(xδx)− lnx δx We proceed by using the law of logarithms logA−logB = log A B to rewrite the righthand side as firstly 1 δx (ln(x δx)− lnx) = 1 δx ln xδx x = 1 δx ln 1 δx x f'(x)=e^x/(1e^x) The chain rule says that if f(x)=g(h(x)) then f'(x)=h'(x)g'(h) Substituting in the functions from the question, h(x)=1e^x g(h)=ln(h) Then the derivatives are h'(x)=e^x g'(h)=1/h According to the chain rule, f'(x)=(e^x)*(1/(h(x))) Expanding out and substituting in that h(x)=1e^x, f'(x)=e^x/(1e^x)To play this quiz, please finish editing it Delete Quiz This quiz is incomplete!



Derivatives Of Ln X And E X Samuelson Mathxp



Derivatives Of Exponential And Logarithmic Functions Ppt Video Online Download
The derivative of e x is e x This is one of the properties that makes the exponential function really important Now you can forget for a while the series expression for the exponential We only needed it here to prove the result above We can now apply that to calculate the derivative of other functions involving the exponential Example 1 f In this lesson, we'll see how to use the quotient rule for derivatives to find the derivative of ln(x) / x After we find out this derivative, we will see how toTo play this quiz, please finish editing it



Http Derrickchung Com Jac Pdf 103 103 Worksheet Derivatives2 Pdf



Find The Derivative Y Ln X X 6 Y E X 5 Lnx Chegg Com
B) math (e^x)^x /math I'll do both a) You just multiply the derivative of the exponent times the exponential The exponent is math x^x=e^{x\ln x} /math, soThis video goes through the derivative of ln((1e^x)/(1 e^x)) This would typically be found in a calculus 1 class#calculus #mathematics #derivatives***** Once students have a feel for calculating derivatives by limits of various functions, the same is done for ln(x) and e^x Each of these show the importance of binomial expansion as that skill is once again necessary in understanding why things are as they are Derivative of ln(x) The derivative of ln(x) have many applications



Derivative And Integral Of Ln And E Youtube



Calculating The Derivative Of Ln X 2 Video Lesson Transcript Study Com
Doing both proofs in the same video to clarify any misconceptions that the original proof was "circular" Created by Sal Khan Google Classroom Facebook Twitter Email Proofs for the derivatives of eˣ and ln (x) Proof d/dx (ln x) = 1/x Proof d/dx (eˣ) = eˣ Proofs of derivatives of ln (x) and eˣ This is the currently selected itemAnswer to What is the derivative of \ln e^{x^{3}}?Okay, take the derivative of the first function before the product, then derivative of E to the X is just e to the x times leave natural Lagerback's alone, the other function to the right Then you leave the first function alone, which is just e to the X, And then you take the drift of of the second piece right here, and the drift of of natural value of X is one over X



Find The Partial Derivative Of F X Y E X2 Y2 With Chegg Com



3 9 Derivatives Of Exponential And Logarithmic Functions Ppt Download
Find the Derivative d/dx y = natural log of e^ (x^2) y = ln (ex2) y = ln ( e x 2) Use logarithm rules to move x2 x 2 out of the exponent d dx x2ln(e) d d x x 2 ln ( e) The natural logarithm of e e is 1 1 d dx x2 ⋅1 d d x x 2 ⋅ 1 Multiply x2 x 2 by 1 1 d dx x2 d d x x 2 Derivative of a log of a function Derivative of logs with base other than e First, let's look at a graph of the log function with base e, that is f(x) = loge(x) (usually written " ln x ")Answer to Differentiate y = ln(e^x e^x) By signing up, you'll get thousands of stepbystep solutions to your homework questions You can



Derivative Of E X Exponential Functions Physics Forums



5 4 Exponential Functions Differentiation And Integration The Inverse Of F X Ln X Is F 1 E X Therefore Ln E X X And E Ln X X Solve For Ppt Download
Solve your math problems using our free math solver with stepbystep solutions Our math solver supports basic math, prealgebra, algebra, trigonometry, calculus and moreDerivatives of logarithmic functions are mainly based on the chain ruleHowever, we can generalize it for any differentiable function with a logarithmic function The differentiation of log is only under the base e, e, e, but we can differentiate under other bases, too The Second Derivative of e^x^2 To calculate the second derivative of a function, you just differentiate the first derivative From above, we found that the first derivative of e^x^2 = 2xe x 2So to find the second derivative of e^x^2, we just need to differentiate 2xe x 2 We can use the chain rule in combination with the product rule for differentiation to calculate the derivative of 2xe x



Search Q Derivative Of E 5e2x Tbm Isch



The Derivative



2 7 Derivatives Of Cos X Sin X E X And Ln X Calculus



Derivatives Of Exponential Logarithmic Functions



The Derivative Of E X And Lnx



Implicit And Logarithmic Differentiation



Derivative Of Ln X Natural Logarithm More



Find The Derivative A Y Ln Root E X 4sinh X B Chegg Com



How Do You Find The Derivative Of Y E X X 1 2 Using The Quotient Rule Socratic



Derivative Of E X Using The Inverse Function Method Youtube



Differentiation Of E X And Ln X Teaching Resources



Natural Logarithm Wikipedia



Exponentials And Logarithms Maths A Level Revision



The Derivative Of E X And Lnx



Differentiating Ex Lnx And The Chain Rule Objectives



Ppt 5 4 Exponential Functions Differentiation And Integration Powerpoint Presentation Id



Proof The Derivative Of 𝑒ˣ Is 𝑒ˣ Video Khan Academy



Why Does E Ln X X Youtube



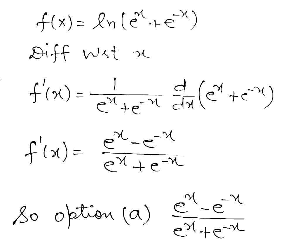
Derivative Of Fx Ln Ex E X A Frac Ex E Xex E X B Gauthmath



Derivative Of Ln E X X E X Youtube



Derivatives Of Power Functions Of E Calculus Reference Electronics Textbook



How To Differentiate Ln E 2x E X 1 Derivative Differentiation Collection Chain Rule Cr9 Ap Calc Youtube



Implicit And Logarithmic Differentiation



Finding The Derivative Of Log X Video Lesson Transcript Study Com



Understanding Ln And Ex



5 5 The Differentiation Of Logarithmic Functions Let Y Ln X X 0



Logs And Derivatives



Proofs Of Derivatives Of Ln X And Eˣ Video Khan Academy



The Derivative Of Ln 2 X Derivativeit



1



Calculus Derivative Of The Natural Log Ln Video Lessons Examples Solutions



Derivatives Of Ln X And E X Samuelson Mathxp



Derivative Of E X Wyzant Lessons



Math Scene Derivatives Lesson 4 Derivatives Of Exponential And Trig Functions



Objectives For Section 11 2 Derivatives Of Exp Log Functions Ppt Download



7 1 Introductionfunctions And Inverses A Function Is



Calculus Derivative Of The Natural Log Ln Video Lessons Examples Solutions



2 Find The First Derivative Of The Following Chegg Com



Answered 1 Find The Mixed Partial Derivative W Bartleby



Derivative Of F X Lne X Shorts Youtube



Natural Logarithm Wikipedia



Derivatives Of Exponential Logarithmic Functions



What Is The Derivative Of Sqrt 4x Socratic



The Derivative Of Lnx And Examples Mathbootcamps



Review 7 2 Find The Derivative 1 Fx



Finding The Derivative Of Log X Video Lesson Transcript Study Com



Derivative Of Y Ln 1 E X Youtube



Derivative Of Ln E X X E X Youtube



What Is The Derivative Of Sqrt X 2 1 X 2 1 Socratic



How Does Ln E 1 Quora



Derivatives Of Frac Csc X E X And Ln Left Frac 3x 2 Sqrt 3 X 2 Right Mathematics Stack Exchange



Ex 4 Derivatives Of The Natural Log Function With The Chain Rule Youtube



5 Derivative Of The Logarithmic Function



Maths First Institute Of Fundamental Sciences Massey University



How Do You Find The Derivative Of F X Ln E X X Socratic



The Derivative Of E X And Lnx



5 Derivative Of The Logarithmic Function



The Derivative Of E X And Lnx



What Is The Derivative Of Log E X X 2 X 2 3 4 Wrt X Quora



Lesson 14 Derivatives Of Logarithmic And Exponential Functions Slid



Differentiation Of The Exponential Function E X And Natural Logarithms Lnx Exponential Function E X Ppt Download



Derivative Of Fx Ln Ex E X A Frac Ex E Xex E X B Gauthmath



What Is The Difference Between Exponential Symbol A X And E X In Mathematics Symbols Mathematics Stack Exchange



What Is The Derivative Of Math E Ln X Math And How Did You Get There Quora



Review 7 2 Find The Derivative 1 Fx



The Derivative Of Ln 2x Derivativeit



Maths First Institute Of Fundamental Sciences Massey University



The Derivatives Of E X And Ln X Math Mistakes



Derivative Of Ln X Natural Logarithm More



1



1



How Do You Find The Derivative Of E 2x E 2x E 2x E 2x Socratic



Calculus 1 Ch 5 1 Derivative Of E X And Lnx 12 Of 24 Other Natural Log Derivatives Youtube



Use The Fundamental Theorem Of Calculus To Find The Derivative Of H X Int 1 E X Ln T Dt Mathematics Stack Exchange



Answered Find The Derivative Of F X Ln E 1 Bartleby



Natural Logarithm Wikipedia



Proofs Of Derivatives Of Ln X And Eˣ Video Khan Academy



Ilectureonline



Derivative Rules



Derivative Of Ln X From Derivative Of 𝑒ˣ And Implicit Differentiation Video Khan Academy


コメント
コメントを投稿